Nonlinear Multiscale Simulation of Knitted Textiles
Type
Team
Research Category
3D knitted technical textiles are spreading into industrial applications, since their geometric, structural, and functional performance can be tailored and optimized on the fibre-, yarn-, and fabric levels by customising yarn materials, knit patterns, and geometric shapes. The ability to simulate their complex mechanical behaviour is thus an essential ingredient in the development of a digital workflow for the optimal design and manufacture of 3D knitted textiles.
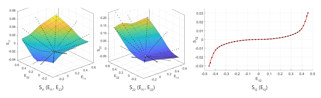
A multiscale modelling and simulation framework was developed to predict the mechanical behaviour of knitted fabric from yarn to fabric scale. The novel computational approach combines efficient meso-scale simulation using 3D beam modelling of yarns with numerical homogenization and nonlinear orthotropic response surface constitutive modelling on the macro-scale. The modelled results are compared against experimental data of single jersey knits with varying stitch densities that are subject to different tensile loading scenarios.
Further reading:
Do, H., Tan, Y.Y., Ramos, N., Kiendl, J. and Weeger, O. (2020). Nonlinear Isogeometric Multiscale Simulation for Design and Fabrication of Functionally Graded Knitted Textiles. Composites Part B [online]. 202. Available from: <https://doi.org/10.1016/j.compositesb.2020.108416>.
Dinh, T.D., Weeger, O., Kaijima, S. and Yeung, S-K. (2018). Prediction of mechanical properties of knitted fabrics under tensile and shear loading: Mesoscale analysis using representative unit cells and its validation. Composites Part B [online]. 148, p.81-92. Available from: <https://doi.org/10.1016/j.compositesb.2018.04.052>.
Weeger, O., Sakhaei, A.H., Tan, Y.Y., Quek, Y.H., Lee, T.L., Yeung, S-K., Kaijima, S. and Dunn, M.L. (2018). Nonlinear Multi-Scale Modelling, Simulation and Validation of 3D Knitted Textiles. Applied Composite Materials [online]. 25, p.797-810. Available from: <https://doi.org/10.1007/s10443-018-9702-4>.






